Как будут работать аптеки в разных городах ЛНР на новогодние праздники
31.12.2025 16:48
782
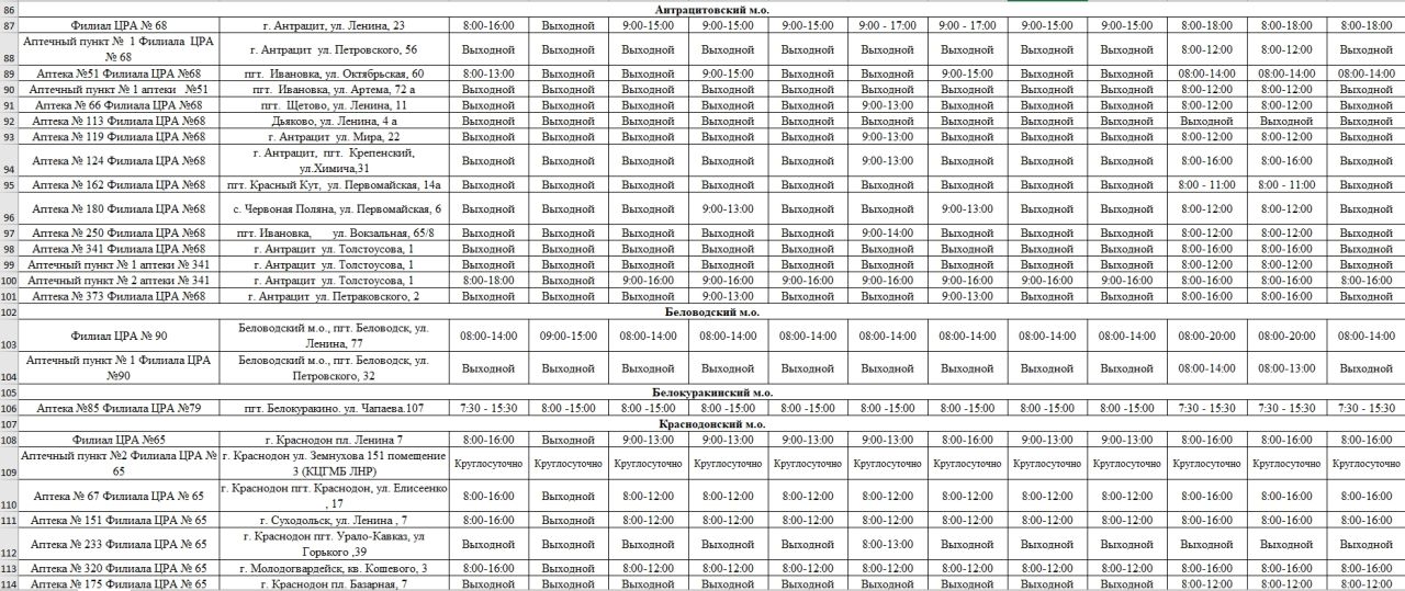
В праздничные дни аптеки Луганской Народной Республики будут работать по изменённому графику. Соответствующую информацию опубликовало Министерство здравоохранения ЛНР.
Речь идёт об аптечных пунктах ГУП «Лугмедфарм», расположенных в различных городах и населённых пунктах республики. Для удобства жителей представлен подробный режим работы на период новогодних и рождественских праздников.
Жителей ЛНР просят заранее уточнить часы работы аптек, чтобы без спешки приобрести лекарства и медицинские товары.








Cледите за главными новостями ЛНР в Telegram, «ВКонтакте», «Одноклассниках».